

error 의 정의를 아래와 같이 한다.

아래와 같다면, exponentially 0 으로 수렴한다.

대표적으로 PD, PID 를 사용한다. 예시는 아래와 같다.
(이 글에서는 PD 를 기반으로 설명 하겠다.)

Agility
y-z plane 에서 본다면 agility 는 아래와 같다.

따라서 무게와 inertia 가 적으면서 추력이 강하면 roll, pitch 가 빨라지며 가속도가 빨라지게 된다.
Rotation
Euler angle 에 기반하여 본다면 아래와 같다.

P = body-fixed frame
q = inertial frame
일때 아래와 같다.

각속도를 구해보면 아래와 같다.
(world 인지 body-fixed 인지 구분을 잘 해야한다!!!!!)

ex)
roll = pi/2 상황일때 각속도를 생각해 본다면 world 의 각속도는 z 축의 각속도 회전이지만, body-fixed frame 에서의 각속도는 y 축 회전의 각속도 이다.

Euler-equation




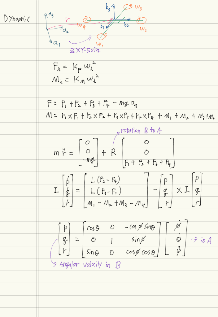
Drone's dynamic
R = rotation matrix 이다.( body to world이며, Z-X-Y Euler angle 이다.)

y-z plane 에서 바라보면 아래와 같다.
또한 hovering 상태에서 lineralization 을 할수 있다.

y-z plane 에서 바라 보았을때
trajectory 를 따라 갈때를 보면 아래와 같다.

3D 로 확장 해서 보면 아래와 같다.

hovering 상태 일때라고 가정하고 lineralization을 하게 되면 아래와 같다.

따라서 high-level controller 에서의 계산된 정보와 low-level-controller 에서의 계산된 정보를 바탕으로 모터의 회전량을 구할 수 있다.